Nếu bạn học vật lý điện tử, bạn sẽ bắt gặp các từ chuyên môn như cuộn cảm, độ tự cảm, inductor, hệ số tự cảm, cuộn dây điện, cuộn dây, công thức tính độ tự cảm, cảm kháng, cuộn cảm cao tần, inductor là gì. Chắc hẳn bạn đều thắc mắc muốn tìm hiểu về nó. Bạn tự hỏi cuộn cảm là gì (What is an inductor?)? Cấu tạo của cuộn cảm như thế nào? Và nguyên lý hoạt động của cuộn cảm cũng như những ứng dụng thực tế của cuộn cảm ra sao? Trong bài này chúng ta cùng tìm hiểu nhé.
Cuộn cảm là gì?
Cuộn cảm có tên gọi là cuộn từ hay cuộn từ cảm, là một linh kiện điện tử thụ động được cấu tạo từ rất nhiều vòng dây điện (lõi đồng) quấn xung quanh các lõi (sắt non, nam châm, không khí). Khi dòng điện chạy qua sẽ sinh ra từ trường, độ mạnh của từ trường mạnh hay yếu gọi là độ tự cảm hay từ dung ký hiệu là L và đơn vị đo là Henry (H). Các lõi sắt trong cuộn cảm được làm bằng các tấm lá thép non.
Bạn có thể hiểu ngắn gọn như sau:
Một cuộn cảm chỉ là một cuộn dây quấn xung quanh một số loại lõi. Lõi có thể chỉ là không khí hoặc nó có thể là một nam châm.
Khi bạn cho một dòng điện chạy qua cuộn cảm, một từ trường được tạo ra xung quanh nó.
Bằng cách sử dụng lõi nam châm, từ trường sẽ mạnh hơn rất nhiều.
Nguyên lý hoạt động của cuộn cảm:
Khi ta có cuộn cảm rồi, nếu cho dòng điện 1 chiều DC chạy qua. Dòng điện sẽ sinh ra một từ trường B có cường độ và chiều không đổi ứng với chiều và cường độ dòng điện DC. Và dòng DC có tần số bằng 0, cuộn dây hoạt động như một điện trở có điện trở kháng gần bằng 0.
Ngược lại khi ta cho dòng điện xoay chiều chạy qua cuộn cảm, nó sẽ sinh ra từ trường biến thiên (B) và một trường điện trường E, điện trường này biến thiên nhưng luôn vuông góc với từ trường. Cảm kháng của cuộn từ lệ thuộc vào tần số của dòng xoay chiều.
Cuộn cảm L có đặc tính lọc nhiễu tốt cho các mạch nguồn DC có lẫn tạp nhiễu ở các tần số khác nhau tùy vào đặc tính cụ thể của từng cuộn cảm, giúp ổn định dòng, ứng dụng trong các mạch lọc tần số.
Một dòng điện qua bất kỳ dây nào sẽ tạo ra một từ trường. Cuộn cảm là một dây có hình dạng để từ trường sẽ mạnh hơn nhiều.
Lý do một cuộn cảm hoạt động theo cách của nó là vì từ trường này. Lĩnh vực này thực hiện một số công cụ vật lý ma thuật chống lại dòng điện xoay chiều.
Tôi không thích đi sâu vào vật lý và toán học. Nhưng nếu bạn muốn đọc một lời giải thích chi tiết hơn, hãy xem bài viết của cuộn cảm Wikipedia.
Cuộn cảm sử dụng để làm gì?
Cuộn cảm tương tự như một tụ điện. Trong mạch, nó sẽ cản lại dòng điện xoay chiều (AC) và để dòng điện một chiều (DC) chạy qua tự do.
Nó sẽ ngăn cản dòng điện xoay chiều (AC). Nhưng dòng điện một chiều (DC) thì sẽ tự do cho chạy qua.
Tôi gần như không bao giờ sử dụng cuộn cảm. Chủ yếu là vì tôi có xu hướng dính vào các mạch kỹ thuật số. Nhưng đôi khi tôi đã sử dụng chúng để tạo bộ lọc hoặc bộ dao động.
Và chúng chủ yếu được sử dụng vào mục đích đo. Ứng dụng trong bộ lọc và bộ dao động.
Bạn thường tìm thấy cuộn cảm trong thiết bị điện tử AC tương tự như thiết bị vô tuyến, hay quạt điện, motor.
Và đây là ý kiến của một bạn gửi cho tôi viết về ứng dụng của cuộn cảm.
Chào.
Tôi đọc bài viết của bạn về cuộn cảm và tôi nghĩ rằng một vài điều cần được làm rõ một chút.
Bạn nói rằng bạn gần như không bao giờ sử dụng cuộn cảm vì bạn có xu hướng dính vào các mạch kỹ thuật số.
Mặc dù có thể không cần thiết cho hoạt động chính xác trong môi trường được kiểm soát, nhưng chắc chắn là cần thiết trong một sản phẩm thương mại.
Để đáp ứng nhu cầu EMC của các sản phẩm thương mại, vốn luôn khó khăn, bạn sẽ hầu như luôn muốn sử dụng cuộn cảm.
EMC là viết tắt của Khả năng điện từ.
Điều này khá đơn giản là sự tương tác giữa các mạch; hoạt động chính xác của một mạch trong môi trường ồn ào và nó không làm hỏng các mạch khác quá nhiều.
Thông thường, bạn sẽ tìm thấy một chế độ chung bị sặc ở đầu vào của bộ chuyển đổi DC-DC để giảm tiếng ồn bên ngoài. Cuộn cảm cũng sẽ giúp giảm tiếng ồn phát ra từ mạch.
Giữa các bộ điều chỉnh khác nhau, như nếu bạn muốn mạng 3,3 V và 5 V, bạn sẽ muốn sử dụng cái gọi là hạt công suất để loại bỏ nhiễu theo cùng một cách.
Chuyển đổi tiếng ồn có thể tích lũy nếu các biện pháp không được thực hiện và trường hợp xấu nhất sẽ là một mạch không hoạt động. Điều quan trọng cần lưu ý là việc sử dụng đúng tụ điện bypass sẽ làm giảm đáng kể vấn đề này.
Đúng là cuộn cảm chủ yếu được sử dụng cho các bộ lọc và bộ dao động. Tuy nhiên, tôi muốn chỉ ra rằng lọc cung cấp năng lượng có lẽ là cách sử dụng phổ biến nhất hiện nay.
Đừng quên rằng một máy biến áp cũng được làm từ hai cuộn cảm ..
Từ trường và từ dung
Khi có dòng điện chạy qua, cuộn dây sinh từ trường và trở thành nam châm điện. Khi không có dòng điện chạy qua, cuộn dây không có từ. Từ trường sản sinh tỉ lệ với dòng điện
- B.A=IL
Hệ số tỷ lệ L là từ dung hay độ tự cảm, là tính chất vật lý của cuộn dây, đo bằng đơn vị Henry – H, thể hiện khả năng sản sinh từ của cuộn dây bởi một dòng điện, A là diện tích bề mặt cuộn dây. B.A ứng với từ thông. Từ dung càng lớn thì từ thông sinh ra càng lớn (ứng với cùng một dòng điện), và cũng ứng với dự trữ năng lượng từ trường (từ năng) trong cuộn dây càng lớn.
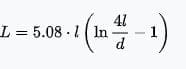
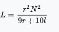
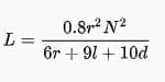
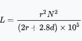
Bảng dưới đây tóm tắt công thức tính từ dung cho một số trường hợp
Ký hiệu cuộn cảm
Dòng điện, i chảy qua một cuộn cảm tạo ra từ thông tỷ lệ với nó. Nhưng không giống như một Tụ điện chống lại sự thay đổi điện áp trên các bản của chúng, một cuộn cảm phản đối tốc độ thay đổi của dòng điện chạy qua nó do sự tích tụ năng lượng tự cảm ứng trong từ trường của nó.
Nói cách khác, cuộn cảm chống lại hoặc chống lại sự thay đổi của dòng điện nhưng sẽ dễ dàng vượt qua dòng điện một chiều ổn định. Khả năng này của một cuộn cảm chống lại sự thay đổi của dòng điện và cũng liên quan đến dòng điện, i với liên kết từ thông của nó, NΦ là một hằng số tỷ lệ được gọi là Điện cảm được đặt ký hiệu L với các đơn vị của Henry , ( H ) sau Joseph Henry.
Bởi vì Henry là một đơn vị tự cảm tương đối lớn theo cách riêng của nó, đối với các đơn vị phụ của cuộn cảm nhỏ hơn của He
Độ tự cảm
| Tiếp đầu ngữ | Ký hiệu | Số nhân | Độ mạnh |
| milli | m | 1 / 1.000 | 10 -3 |
| vi mô | Củ cải | 1 / 1.000.000 | 10 -6 |
| nano | n | 1 / 1.000.000.000 | 10 -9 |
Vì vậy, để hiển thị các đơn vị con của Henry, chúng tôi sẽ sử dụng làm ví dụ:
- 1mH = 1 milli-Henry – tương đương với một phần nghìn (1/1000) của Henry.
- 100μH = 100 micro-Henries – tương đương với 100 triệu (1 / 1.000.000) của Henry.
Cuộn cảm hoặc cuộn dây rất phổ biến trong các mạch điện và có nhiều yếu tố quyết định độ tự cảm của cuộn dây như hình dạng của cuộn dây, số vòng dây của cách điện, số lớp dây, khoảng cách giữa các vòng , tính thấm của vật liệu lõi, kích thước hoặc diện tích mặt cắt ngang của lõi, v.v., để đặt tên cho một số ít.
Một cuộn dây có một vùng lõi trung tâm, ( A ) với số vòng dây không đổi trên một đơn vị chiều dài, ( l ). Vì vậy, nếu một cuộn dây N được liên kết bởi một lượng từ thông, Φ thì cuộn dây có liên kết từ thông N và bất kỳ dòng điện nào, ( i ) chảy qua cuộn dây sẽ tạo ra một từ thông cảm ứng theo hướng ngược lại với dòng chảy. Sau đó, theo Định luật Faraday, bất kỳ thay đổi nào trong liên kết từ thông này sẽ tạo ra điện áp tự cảm ứng trong cuộn dây đơn:
- Ở đâu:
- N là số lượt
- A là diện tích mặt cắt ngang trong m 2
- Φ là lượng thông trong Webers
- μ là thấm của vật liệu cốt lõi
- l là chiều dài của cuộn dây tính bằng mét
- di / dt là tốc độ thay đổi của dòng điện trong amps / giây
Từ trường biến thiên theo thời gian tạo ra một điện áp tỷ lệ thuận với tốc độ thay đổi của dòng điện tạo ra nó với giá trị dương cho thấy sự gia tăng của emf và giá trị âm biểu thị sự giảm emf. Phương trình liên quan đến điện áp, dòng điện và điện cảm tự cảm này có thể được tìm thấy bằng cách thay thế μN 2 A / l bằng L biểu thị hằng số tỷ lệ gọi là Độ tự cảm của cuộn dây.
Mối quan hệ giữa từ thông trong cuộn cảm và dòng điện chạy qua cuộn cảm được cho là: NΦ = Li . Vì một cuộn cảm bao gồm một cuộn dây dẫn, điều này sau đó làm giảm phương trình trên để tạo ra emf tự cảm ứng, đôi khi được gọi là emf phía sau gây ra trong cuộn dây:
Độ tự cảm EMF
Trong đó: L là độ tự cảm và di / dt tốc độ thay đổi dòng điện.

Cuộn cảm
Vì vậy, từ phương trình này, chúng ta có thể nói rằng tốc độ tự cảm ứng emf = độ tự cảm x tốc độ thay đổi dòng điện và một mạch có độ tự cảm của một Henry sẽ có một emf một volt gây ra trong mạch khi dòng điện chạy qua mạch thay đổi với tốc độ một ampere mỗi giây.
Một điểm quan trọng cần lưu ý về phương trình trên. Nó chỉ liên quan đến emf được tạo ra trên cuộn cảm với sự thay đổi dòng điện bởi vì nếu dòng điện của cuộn cảm không đổi và không thay đổi như ở dòng điện DC ở trạng thái ổn định, thì điện áp emf cảm ứng sẽ bằng 0 vì tốc độ thay đổi dòng điện tức thời là không, di / dt = 0 .
Với dòng điện một chiều ở trạng thái ổn định chạy qua cuộn cảm và do đó điện áp cảm ứng bằng 0 trên nó, cuộn cảm đóng vai trò ngắn mạch bằng một đoạn dây hoặc ít nhất là điện trở có giá trị rất thấp. Nói cách khác, sự đối lập với dòng điện được cung cấp bởi một cuộn cảm rất khác nhau giữa các mạch AC và DC.
Hằng số thời gian của một cuộn cảm
Bây giờ chúng ta biết rằng dòng điện không thể thay đổi tức thời trong một cuộn cảm vì để điều này xảy ra, dòng điện sẽ cần thay đổi một lượng hữu hạn trong thời gian 0, điều này sẽ dẫn đến tốc độ thay đổi dòng điện là vô hạn, di / dt = ∞ , làm cho emf cảm ứng vô hạn cũng như điện áp vô hạn không tồn tại. Tuy nhiên, nếu dòng điện chạy qua một cuộn cảm thay đổi rất nhanh, chẳng hạn như với hoạt động của một công tắc, điện áp cao có thể được cảm ứng trên cuộn dây cuộn cảm.

Xét mạch của cuộn cảm bên phải. Với công tắc, ( S1 ) mở, không có dòng điện chạy qua cuộn cảm. Vì không có dòng điện chạy qua cuộn cảm, tốc độ thay đổi của dòng điện ( di / dt ) trong cuộn dây sẽ bằng không. Nếu tốc độ thay đổi của dòng điện bằng 0 thì không có emf tự cảm ứng, ( V L = 0 ) trong cuộn cảm.
Nếu bây giờ chúng ta đóng công tắc (t = 0), một dòng điện sẽ chạy qua mạch và từ từ tăng lên giá trị cực đại của nó với tốc độ được xác định bởi độ tự cảm của cuộn cảm. Tốc độ dòng điện chạy qua cuộn cảm này nhân với độ tự cảm của cuộn cảm trong Henry, dẫn đến một số emf tự cảm ứng có giá trị cố định được tạo ra trên cuộn dây được xác định bởi phương trình Faraday ở trên, V L = Ldi / dt .
Emf tự cảm ứng này trên cuộn dây cảm ứng, ( V L ) chiến đấu với điện áp được áp dụng cho đến khi dòng điện đạt giá trị cực đại và đạt được điều kiện trạng thái ổn định. Dòng điện chạy qua cuộn dây chỉ được xác định bởi điện trở thuần DC hoặc điện cực thuần của cuộn dây vì giá trị phản kháng của cuộn dây đã giảm về 0 vì tốc độ thay đổi của dòng điện ( di / dt ) bằng 0 tiểu bang. Nói cách khác, dòng điện chỉ tồn tại điện trở DC cuộn dây để chống lại dòng điện.
Tương tự, nếu công tắc, (S1) được mở, dòng điện chạy qua cuộn dây sẽ bắt đầu giảm nhưng cuộn cảm sẽ lại chống lại sự thay đổi này và cố gắng giữ dòng điện chạy ở giá trị trước đó bằng cách tạo ra điện áp theo hướng khác. Độ dốc của mùa thu sẽ âm và liên quan đến độ tự cảm của cuộn dây như hình dưới đây.
Dòng điện và điện áp trong một cuộn cảm

Điện áp cảm ứng sẽ được tạo ra bởi cuộn cảm phụ thuộc vào tốc độ thay đổi dòng điện. Trong hướng dẫn của chúng tôi về Cảm ứng điện từ, Luật của Lenz đã tuyên bố rằng: Hướng đi của một emf cảm ứng là như vậy nó sẽ luôn chống lại sự thay đổi gây ra nó . Nói cách khác, một emf cảm ứng sẽ luôn luôn OPPOSE chuyển động hoặc thay đổi bắt đầu emf cảm ứng ở vị trí đầu tiên.
Vì vậy, với dòng điện giảm, cực điện áp sẽ đóng vai trò là nguồn và với dòng điện tăng, cực điện áp sẽ đóng vai trò là tải. Vì vậy, với cùng tốc độ thay đổi dòng điện qua cuộn dây, tăng hoặc giảm cường độ của emf cảm ứng sẽ giống nhau.
Ví dụ cuộn cảm số 1
Một dòng điện trực tiếp trạng thái ổn định gồm 4 ampe đi qua cuộn dây điện từ 0,5H. Điều gì sẽ là điện áp emf trở lại gây ra trong cuộn dây nếu công tắc trong mạch trên được mở trong 10mS và dòng điện chạy qua cuộn dây giảm xuống 0 ampere.
Nguồn trong một cuộn cảm
Chúng ta biết rằng một cuộn cảm trong mạch chống lại dòng điện, ( i ) thông qua nó bởi vì dòng chảy này tạo ra một emf chống lại nó, Định luật Lenz. Sau đó, công việc phải được thực hiện bởi nguồn pin bên ngoài để giữ cho dòng điện chạy ngược lại với emf cảm ứng này. Sức mạnh tức thời được sử dụng để buộc dòng điện, ( i ) chống lại emf tự cảm ứng này, ( V L ) được đưa ra từ phía trên như:
Công suất trong một mạch được cho là, P = V * I do đó:

Một cuộn cảm lý tưởng không có điện trở chỉ có điện cảm nên R = 0 và do đó không có công suất nào bị tiêu tán trong cuộn dây, vì vậy chúng ta có thể nói rằng một cuộn cảm lý tưởng có tổn thất điện năng bằng không.
Năng lượng trong một cuộn cảm
Khi năng lượng chảy vào một cuộn cảm, năng lượng được lưu trữ trong từ trường của nó. Khi dòng điện chạy qua cuộn cảm tăng và di / dt trở nên lớn hơn 0, công suất tức thời trong mạch cũng phải lớn hơn 0, ( P> 0 ), nghĩa là tích cực có nghĩa là năng lượng được lưu trữ trong cuộn cảm.
Tương tự, nếu dòng điện qua cuộn cảm giảm và di / dt nhỏ hơn 0 thì công suất tức thời cũng phải nhỏ hơn 0, ( P <0 ), nghĩa là âm có nghĩa là cuộn cảm đang đưa năng lượng trở lại mạch. Sau đó, bằng cách tích hợp phương trình cho công suất ở trên, tổng năng lượng từ luôn luôn dương, được lưu trữ trong cuộn cảm do đó được đưa ra như sau:
Năng lượng được lưu trữ bởi một cuộn cảm

Trong đó: W ở joules, L ở Henries và tôi ở Amperes
Năng lượng thực sự đang được lưu trữ trong từ trường bao quanh cuộn cảm bởi dòng điện chạy qua nó. Trong một cuộn cảm lý tưởng không có điện trở hoặc điện dung, vì dòng điện làm tăng dòng năng lượng vào cuộn cảm và được lưu trữ ở đó trong từ trường của nó mà không bị mất, nó không được giải phóng cho đến khi dòng điện giảm và từ trường sụp đổ.
Sau đó, trong một dòng điện xoay chiều, mạch điện xoay chiều một cuộn cảm liên tục lưu trữ và cung cấp năng lượng cho mỗi chu kỳ. Nếu dòng điện chạy qua cuộn cảm không đổi như trong mạch DC, thì không có thay đổi trong năng lượng được lưu trữ là P = Li (di / dt) = 0 .
Vì vậy, cuộn cảm có thể được định nghĩa là các thành phần thụ động vì chúng có thể vừa lưu trữ và cung cấp năng lượng cho mạch, nhưng chúng không thể tạo ra năng lượng. Một cuộn cảm lý tưởng được phân loại là mất ít hơn, có nghĩa là nó có thể lưu trữ năng lượng vô thời hạn vì không mất năng lượng.
Tuy nhiên, cuộn cảm thực sẽ luôn có một số điện trở liên quan đến cuộn dây của cuộn dây và bất cứ khi nào dòng điện chạy qua năng lượng điện trở bị mất dưới dạng nhiệt do Định luật Ohms, ( P = I 2 R ) bất kể dòng điện có xen kẽ hay không hoặc không đổi.
Sau đó, việc sử dụng chính cho cuộn cảm là trong các mạch lọc, mạch cộng hưởng và cho giới hạn dòng điện. Một cuộn cảm có thể được sử dụng trong các mạch để chặn hoặc định hình lại dòng điện xoay chiều hoặc một dải tần số hình sin, và trong vai trò này, một cuộn cảm có thể được sử dụng để điều chỉnh một bộ thu sóng vô tuyến đơn giản hoặc nhiều loại dao động khác nhau. Nó cũng có thể bảo vệ các thiết bị nhạy cảm khỏi các xung điện áp phá hủy và dòng điện xâm nhập cao.
Trong hướng dẫn tiếp theo về cuộn cảm, chúng ta sẽ thấy rằng điện trở hiệu dụng của cuộn dây được gọi là cuộn cảm, và độ tự cảm mà như chúng ta biết bây giờ là đặc tính của một dây dẫn điện mà đối nghịch với sự thay đổi của dòng điện dòng điện, có thể là bên trong cảm ứng, được gọi là tự cảm hoặc cảm ứng bên ngoài, được gọi là tự cảm lẫn nhau.
Video khái niệm cuộn cảm là gì? Cấu tạo và nguyên lý hoạt động của cuộn cảm
















